超高速 藍殼550船模電機強磁馬達15000轉大馬力航模船模車模配件

超高速 藍殼550船模電機強磁馬達15000轉大馬力航模船模車模配件
NT$448
商品編號:
供貨狀況: 尚有庫存

此商品參與的優惠活動

加入最愛 此商品 「 最高 」可以折抵紅利 0 點 (約等於 NT$0 )
商品介紹

超高速藍色500馬達,船模車模通通拿下!

進口材料、強磁高速

12V 15000轉/24V 30000轉

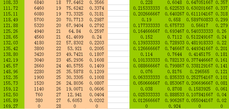
以下有詳細的測試曲線圖和參數值,詳細圖表,請耐心審閱。含扭矩、功率等參數

電壓范圍:6-24v

實測:7.4V 電流1.1A;12V 電流1.27A;24V 電流2.55A

從電流就可以看出,很牛掰的!使用電源請使用鋰電池、電瓶,如果使用適配器請使用5A以上的電源(好10A)

軸徑:3.17mm,圓軸,出軸長:10.5mm

外徑:36mm,機身長:57mm,臺階高度:4mm

安裝孔:距離25mm,3mm螺絲孔

重量:200克

 

每一個電機都是單獨塑料袋包裝,防止磨花,但是不免有個別有那么一丁點的磨到,不要介意。

 

本店相應的電機支架、散熱片、聯軸器等等都有銷售。

需要其他聯軸器請點擊對應圖片:

 

 

藍殼550馬達參數表:

 

 

 

 

曲線解讀數據表:

- -_- --|-_-|-
規格說明
運送方式
已加入購物車
已更新購物車
網路異常,請重新整理